泡泡资讯网

银太高铁什么走向?沿线4大机场2024年旅客吞吐量作为参考 1.太原武宿1477

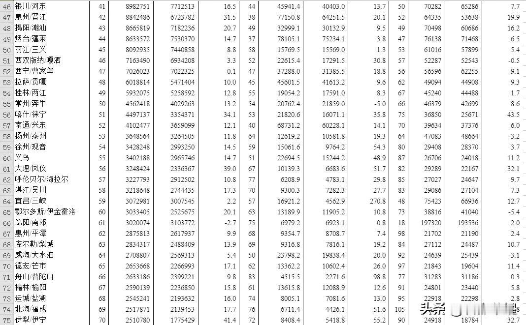
银太高铁什么走向?沿线4大机场2024年旅客吞吐量作为参考
1.太原武宿14775147人次(旅客吞吐量全国排名31)
2.银川河东8982751人次(旅客吞吐量全国排名41)
3.榆林榆阳2590139人次(旅客吞吐量全国排名67)
4.吕梁大武538147人次(旅客吞吐量全国排名138)
@石峁荣耀 :旅客吞吐量太原1477万人次(1000万以上全国共40个)、银川898万人次、榆林259万人次(200-1000万全国共37个),吕梁53万人次(200万以下全国186个)。